Skip to content
Search for:
Home
AIML
6G
NTN
LTE
5GNR
RF Design
IoT
DevOpsTest
Telco Cloud
O-RAN
Privacy Policy
Blog
Explore, Learn and Share
Search for:
Home
AIML
6G
NTN
LTE
5GNR
RF Design
IoT
DevOpsTest
Telco Cloud
O-RAN
Privacy Policy
Blog
5g TP Formula
5g TP Formula
by
Author
·
June 24, 2018
Previous story
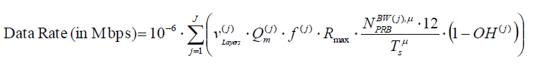
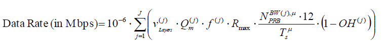
5G NR Throughput Calculation
Follow us on linkedIn
Live Traffic
Website Counter
Website Counter