Skip to content
Search for:
Home
AIML
6G
NTN
LTE
5GNR
RF Design
IoT
DevOpsTest
Telco Cloud
O-RAN
Privacy Policy
Blog
Explore, Learn and Share
Search for:
Home
AIML
6G
NTN
LTE
5GNR
RF Design
IoT
DevOpsTest
Telco Cloud
O-RAN
Privacy Policy
Blog
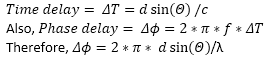
Eq1
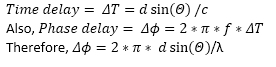
Eq1
by
Author
·
August 19, 2017
Previous story
Smart Antenna and Beamforming, Understanding with GNU : Part 2
Follow us on linkedIn
Live Traffic
Website Counter
Website Counter